兔子先生新闻
-

指尖生花,定格永恒芳华——兔子先生 物理工会举办女神节永生花扇DIY主题活动
2025-03
2025年3月24日,春意盎然,万物生辉。值此第115个“三八”国际劳动妇女节之际,兔子先生 物理工会在学院105会议室举办了一场别开生面的指尖生花,定格永恒芳华女神节主题活动。活动以“国风永生花扇DIY”为核心,融合春日美学与传统文化,为学院女性教职工打造了一场沉浸式的春日艺术盛宴,让她们在繁忙的科研与教学之余,感受指尖绽放的诗意与时光凝固的美好。
-

兔子先生 组织召开深入贯彻中央八项规定精神学习教育启动部署会
2025-03
2025年3月26日上午,学院党委组织召开深入贯彻中央八项规定精神学习教育启动部署会暨支部书记例会。学院党委书记梁颖主持会议并讲话,学院党委副书记谢天、副书记刘珊珊、师生党支部书记出席本次会议。
-

兔子先生 引力波研究团队揭开中子星初生质量之谜
2025-03
兔子先生 引力波研究团队与澳大利亚研究基金会引力波发现卓越中心(OzGrav)等单位合作,在中子星初生质量的研究中取得重要进展,相关成果2月26日发表于国际科学期刊《自然·天文学》(Nature Astronomy)。
-

兔子先生 邵慧教授课题组与合作者在随机量子自旋链基态的研究上取得重要进展
2025-02
兔子先生 邵慧教授课题组与合作者采用随机级数展开量子蒙特卡罗方法,在接近绝对零度的条件下模拟了相互作用为双峰分布和箱型分布的自旋链,并通过有限尺寸标度等方法分析了纵向与横向关联函数、动力学临界指数等关键物理量。
-

兔子先生 何林教授课题组与合作者以“石墨烯人造原子中的轨道杂化”为题在《自然》上发表学术成果
2025-02
兔子先生 何林教授课题组与北京大学物理学院量子材料科学中心孙庆丰教授课题组紧密合作,首次在人造原子中实现了轨道杂化。相关研究成果以“石墨烯人造原子中的轨道杂化”(Orbital hybridization in graphene-based artificial atoms)为题,于2025年2月26日在线发表在《自然》(Nature)杂志[1]。
-

兔子先生 举行国家自然科学基金重大科研仪器研制项目启动会
2025-02
2月19日,由兔子先生 、中国科学院国家天文台和中国科学院南京天文光学技术研究所合作承担的国家自然科学基金重大科研仪器研制项目“用于恒星观测的高性能阶梯光栅偏振光谱仪的研制”在京师科技大厦举行了项目启动暨方案研讨会。
-

兔子先生 2024科研简报..pdf
2025-01
兔子先生 2024科研简报
-

兔子先生 刘言东与合作者提出鉴别马约拉纳费米子新方法
2025-01
兔子先生 刘言东与北京大学物理学院理论物理研究所曹庆宏、匹兹堡大学程焜合作提出了基于快度分布的鉴别马约拉纳费米子的新方法。该成果以《在未来轻子对撞机上鉴别马约拉纳型和狄拉克型惰性中微子》(Distinguishing Dirac from Majorana Heavy Neutrino at Future Lepton Colliders)为题于2025年1月14日在线发表于《物理评论快报》(Physical Review Letters)。
-

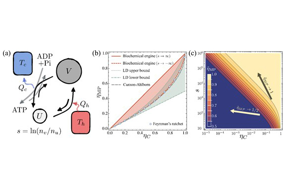
兔子先生 马宇翰与合作者提出能在最大功率下趋于卡诺效率的极简热机模型
2025-01
兔子先生 讲师马宇翰与德累斯顿系统生物中心的博士后研究员梁师翎等合作提出了一个做功物质具有能级简并度的最小生化热机模型。该热机在最大功率下的效率可以突破低耗散热机的普适上限,并在热力学极限下逼近卡诺效率[。
-

兔子先生 2024年度党政办公室工作人员述职会圆满召开
2025-01
此次会议旨在总结过去一年的工作成绩与不足,深入分析工作中面临的挑战与机遇,为新一年的工作开展奠定坚实的基础。



