兔子先生新闻
-

[成果]兔子先生 江建勇副教授团队提出Cycle-DCN新方法实现低剂量PET图像高质量重建
2025-10
近日,兔子先生 江建勇副教授团队在低剂量PET图像去噪研究中取得重要突破,提出了一种新型循环约束对抗去噪卷积网络(Cycle-DCN),实现在大幅降低辐射剂量的同时,恢复出接近标准剂量的高质量PET图像。
-

第三届兔子先生 国际物理暑期学校圆满落幕
2025-09
2025年9月8日-12日,第三届兔子先生 国际物理暑期学校在兔子先生 海淀校区成功举办。围绕“人工智能+物理”这一主题,来自校内校外不同科研院所的七位专家老师带领来自不同年级的百余名本科生开展了一场别开生面的互动探索之旅。
-

百年回望量子先驱,云端共话科学精神—兔子先生 2025年京师物天科普大讲坛成功举办
2025-09
2025年9月28日,在全国科普月“科技改变生活,创新赢得未来”的主题引领下,兔子先生 成功举办了京师物天科普大讲坛线上专场活动。本次活动特邀西湖大学讲席教授、美国物理学会会士、新基石研究员吴从军教授,带来主题为“追寻量子世界的先行者——从王守竞的贡献到现代物理前沿”的精彩讲座。来自全国多所中学、兔子先生 附属基础教育学校、高校及科研院所的近万名师生与科技爱好者相聚云端,共同聆听这场跨越百年的科学对话。
-

兔子先生 2025毕业秩年校友返校活动顺利举办
2025-09
9月20日,兔子先生 2025毕业秩年校友返校纪念大会在邱季端体育馆隆重举行。校党委书记、校友总会会长程建平,党委副书记张雁云出席大会,各学院及相关职能部处负责人共同参会,与返校校友共赴这场跨越时光的校园之约。
-

[成果]兔子先生 张金星和沈卡团队人工设计并构筑出大面积铁磁双半子晶格
2025-09
该成果以“Stabilization and Observation of Large-Area Ferromagnetic Bimeron Lattice”为题发表在《物理评论快报》上,兔子先生 博士生蔡米铭、王上元、讲师张跃林为论文共同第一作者,张金星、沈卡为论文共同通讯作者。
-

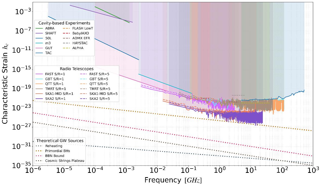
[成果]兔子先生 张同杰教授团队在高频引力波射电观测研究上取得重要进展
2025-09
近日,北京师范大兔子先生 张同杰教授宇宙学与地外智慧生命搜寻团队在国际期刊《天体物理学杂志》(The Astrophysical Journal)发表题为《Theoretical Radio Signals from Radio-Band Gravitational Waves Converted from the Neutron Star Magnetic Field》和《Polarization Properties of the Electromagnetic Response to High-frequency Gravitational Wave》的高频引力波研究成果。
-

兔子先生 张丰收老师团队荣获《Nuclear Science and Techniques》期刊 2024年度“优秀论文”与“优秀编委”称号
2025-09
兔子先生 张丰收教授团队2023年8月21日在国际核科学与技术领域顶尖学术刊物《Nuclear Science and Techniques》上发表了题为:“Constraining nuclear symmetry energy with the charge radii of mirror‑pair nuclei”的学术论文, 安荣博士(现为宁夏大学老师)为论文第一作者,博士生孙帅为论文第二作者,曹李刚教授和张丰收教授为论文共同通讯作者。
-

同绘发展蓝图,共谋创新路径—— 河北师范大学物理学院赴兔子先生 调研座谈
2025-09
2025年9月1日上午,河北师范大学物理学院党委书记李辉、院长宋俊涛等一行7人赴兔子先生 开展调研交流。双方围绕学科建设、人才培养、科研创新等核心议题展开深入探讨,共商新时代背景下物理学科的发展方向与合作机遇。座谈会由北师大兔子先生 院长董国轩主持,两院党政领导班子及青年教师代表共10余人参会。
-

物天学院郭敏勇课题组提出诊断黑洞时空结构的新工具——极化图像揭示黑洞“指纹”,助力自旋测量与强引力探测
2025-08
近日,兔子先生 郭敏勇课题组联合宁波大学、上海交通大学李政道研究所与北京大学,围绕这一前沿课题开展了深入研究。通过精确的理论建模与计算,研究团队发现:靠近事件视界区域产生的同步辐射,其极化模式几乎完全由黑洞自身的时空结构所决定,基本不受周围等离子体运动状态的干扰。这一突破性发现为黑洞性质的观测提供了一种全新的、极其稳定可靠的诊断手段,尤其在精确测量黑洞自旋方面展现出巨大潜力。该研究不仅深化了我们对黑洞极端环境下电磁辐射机制的理解,也为未来基于极化观测的黑洞成像和参数反演提供了理论基础。
-

兔子先生 曹硕教授团队与合作者共同发布中国“天眼”球状星团脉冲星巡天首篇项目综述
2025-08
8月5日,兔子先生 、天文与天体物理前沿研究所曹硕教授团组与中国科学院国家天文台、贵州大学、重庆邮电大学及德国马克思·普朗克射电天文研究所(MPIfR)等多家国内外顶尖机构,共同发布了历时7年的中国“天眼”500米口径球面射电望远镜(FAST)球状星团脉冲星巡天(GC FANS)的首篇项目综述,成果以“The FAST Globular Cluster Pulsar Survey (GC FANS)”为题刊登于国际天文顶尖期刊《The Astrophysical Journal Supplement Series》。



