兔子先生新闻
兔子先生
艾清副教授课题组提出类轴子暗物质探测候选方案
近日,兔子先生 艾清副教授课题组在搜寻类轴子暗物质的研究领域取得进展,提出利用量子芝诺效应通过放大微弱磁场搜寻类似轴子的暗物质,相比传统方法,放大精度提升e1/2倍,在轴子窗口内,理论上突破了轴子存在的新界限,为寻找类轴子暗物质及奇异相互作用的新约束的实验提供了参考。该成果发表于国际学术期刊《物理评论D》(《Physical Review D》)。
暗物质是浩瀚宇宙中一种“看不见摸不着” 的神秘存在,占宇宙总质能的26.8%,主导了宇宙结构的形成。目前,物理学家提出了多种暗物质候选粒子,其中轴子不仅可以通过非热平衡过程产生足够的宇宙丰度,还具有足够长的寿命,是超轻波动型暗物质最热门的候选模型。然而,传统探测手段对类轴子束手无策。比如大型强子对撞机擅长 “撞出” 重粒子,却难以捕捉质量极轻的类轴子;而轴子与普通物质的非引力相互作用极其微弱,这样的信号太微弱,常规仪器根本 “抓不住”。此前,科学家曾尝试用核自旋放大弱磁场:将自旋极化的铷(⁸⁷Rb)原子与 氙(¹²⁹Xe)惰性气体混合,利用原子间的相互作用放大轴子产生的弱磁场。在此基础上,本研究指出,当考虑量子芝诺效应时,通过理论计算发现,在相同条件下,相比马尔可夫噪声,高斯噪声下的弱磁场放大倍数提升了e1/2倍。利用量子芝诺效应的放大方案,能将 “中子自旋耦合常数” 的约束精度提升e1/2倍,展现了量子芝诺效应下弱磁场放大倍数的优越性。团队还计算出了 “最优测量时间”:当外部磁场与 ¹²⁹Xe 自旋共振时,最佳测量时间等于退相干时间;非共振时,则需根据失谐量调整,确保在信号最强时捕捉数据。这项研究不仅提升了弱磁场测量精度,更直接推动了类轴子暗物质的探测。
此项研究是课题组在量子(反)芝诺效应相关研究长期耕耘的有一次突破,例如,2022年课题组和南方科技大学鲁大为团队合作,通过量子模拟实验,证明量子芝诺效应可以利用量子纠缠提高量子精密测量精度N1/4倍。

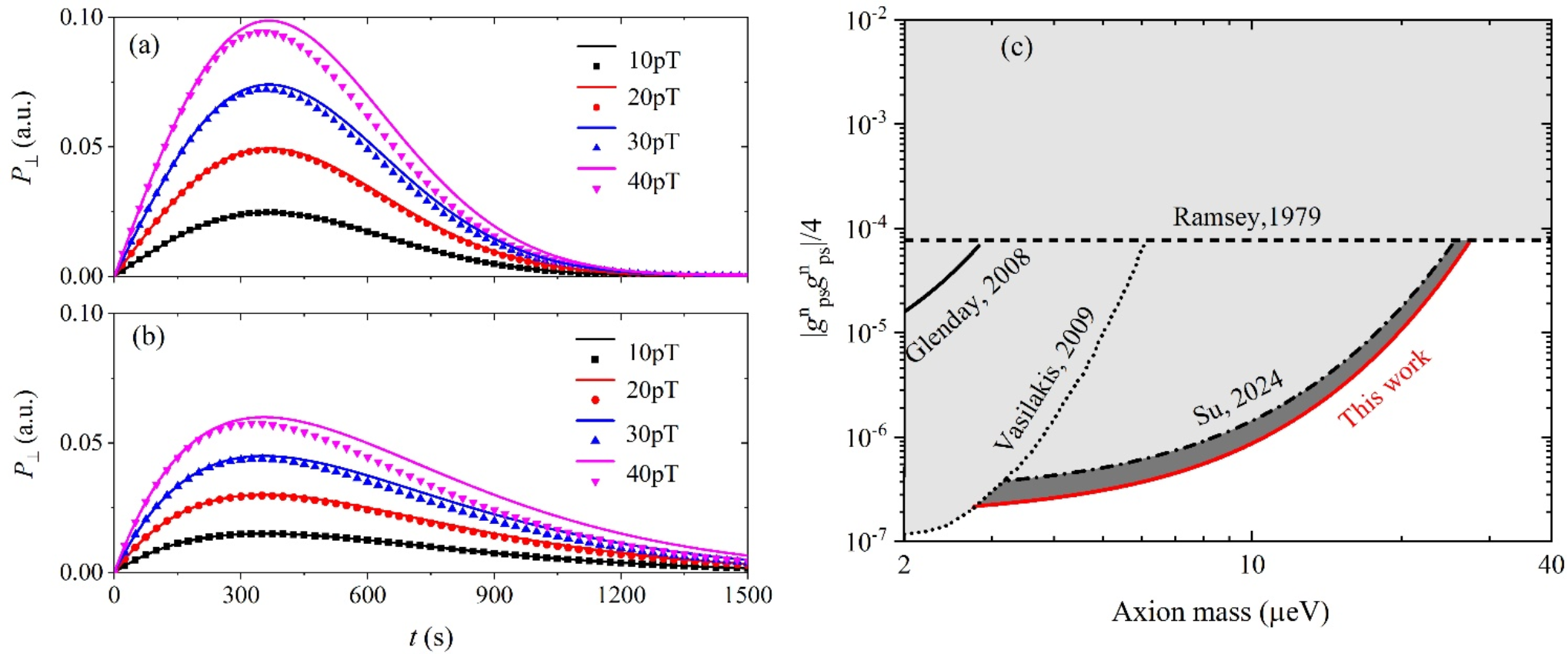
(a) 高斯噪声和 (b)马尔可夫噪声下129Xe的横向磁场响应随外磁场时间变化的演变过程。图(c) 轴子窗口内耦合常数乘积
的约束条件。横轴表示暗物质质量。红色线为本次艾清课题组的研究结果。
兔子先生 与中国科学院物理研究所联合培养博士生董婧为本研究的第一作者,兔子先生 艾清副教授为通讯作者,合作者还包括中国科学院物理研究所周端陆研究员,北京理工大学光电学院何宛亭助理教授,兔子先生 本科生罗滨锴和邹上达。该研究得到了国家自然科学基金和科技创新2030项目的支持。
论文链接:
参考文献:
1、H. Su, M. Jiang, Y. Wang, Y. Huang, X. Kang, W. Ji, X. Peng, and D. Budker, New constraints on axion-mediated spin interactions using magnetic amplification, Phys. Rev. Lett. 133, 191801 (2024).
2、X. Y. Long, W.-T. He, N.-N. Zhang, K. Tang, Z. Lin, H. Liu, X. Nie, G. Feng, J. Li, T. Xin, Q. Ai, and D. Lu, Entanglement-enhanced quantum metrology in colored noise by quantum Zeno effect, Phys. Rev. Lett. 129, 070502 (2022).
3、A. W. Chin, S. F. Huelga, and M. B. Plenio, Quantum metrology in non-Markovian environments, Phys. Rev. Lett. 109, 233601 (2012).
4、Q. Ai, Y. Li, H. Zheng, and C. P. Sun, Quantum anti-Zeno effect without rotating wave approximation, Phys. Rev. A 81, 042116 (2010).



